
1. 단항식의 사칙연산
단항식은 하나의 항으로 이루어진 식을 말합니다.
(1) 덧셈: 동일한 변수를 가진 항끼리 더합니다.

(2) 뺄셈: 동일한 변수를 가진 항끼리 뺍니다.

(3) 곱셈: 계수끼리 곱하고, 변수는 지수를 더해줍니다.

(4) 나눗셈: 계수끼리 나누고, 지수를 뺍니다.

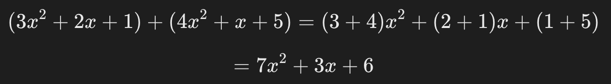
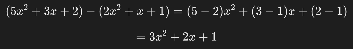
2. 다항식의 사칙연산
다항식은 두 개 이상의 항으로 이루어진 식을 말합니다.
(1) 덧셈: 동일한 차수끼리 더합니다.

(2) 뺄셈: 동일한 차수끼리 뺍니다.

(3) 곱셈: 각 항을 분배하여 곱합니다.

(4) 나눗셈: 각 항을 나눕니다. 이때 지수는 뺍니다. 만일 뺀 지수가 음수라면 분수로 표현할 수 있는데요 아래 글을 참고하시면 됩니다.

3. 나눗셈에서 분모의 지수가 더 클 경우
단항식과 다항식의 나눗셈에서 분모의 지수가 더 클 경우는 나눗셈을 할 때 지수를 뺄 때 음수 지수가 나오는 경우입니다. 아래에서 예시를 보며 살펴보겠습니다.
1) 단항식의 나눗셈에서 분모의 지수가 클 경우
지수끼리 빼면 다음과 같이 되는데요, 이때 음수 지수는 분수로 표현할 수 있습니다.

따라서 결과는 다음과 같이 표현할 수 있습니다. -3제곱이 3제곱 분의 1이 된다고 보시면 됩니다.

2) 다항식의 나눗셈에서 분모의 지수가 클 경우
우선 각 항을 나눠 계산합니다

음수 지수는 분수로 나타낼 수 있습니다. 이때 계수는 분자로 옮겨갑니다.

음수 지수는 분수로 나타낼 수 있으니, 최종 결과는 다음과 같이 표현할 수 있습니다.

정리
▶ 단항식에서 분모의 지수가 클 경우 지수끼리 빼서 음수 지수가 나옵니다. 음수 지수는 분수로 변환할 수 있습니다.
▶ 다항식에서도 각각의 항을 나눌 때 동일하게 적용되며, 지수의 차이가 음수가 되는 경우 분수 형태로 바뀝니다.