반응형
안녕하세요! 오늘은 비례식 문제를 풀어보려고 하는데요, 간단한 규칙만 알고 있으면 손쉽게 풀 수 있답니다.
고도의 수학적 지식이 필요 없으면서도 우리 생활 속에서 너무나 자주 등장하는 비례식 이슈들을 있는데요,
본 포스팅으로 확실히 짚고 넘어가도록 하겠습니다.
비례식이란 두 비율이 같다는 것을 나타내는 식입니다. 비율은 두 수의 관계를 나타내는 것으로, 한 수가 다른 수에 곱해진 값과 비례하는 상황을 설명할 때 사용됩니다. 비례식은 일반적으로 다음과 같은 형식으로 표현됩니다.
어떤 값을 구할 때는 보통 아래 a, b, c, d 중 하나를 x로 놓게 되지요.

혹은

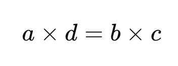
여기서, a, b, c, d는 주어진 값들이고, 내항과 외항으로 나뉩니다.
- 내항: 비례식에서 안쪽에 위치한 값들입니다. 여기서는 b와
- 외항: 비례식에서 바깥쪽에 위치한 값들입니다. 여기서는 와
비례식의 성질
비례식에서 내항의 곱과 외항의 곱이 같다는 성질을 가지고 있습니다. 이를 내항의 곱 = 외항의 곱이라고 합니다:
위처럼 분수로 표현했을 때 엑스자 모양으로 곱하는 값들이 같다고 보시면 됩니다. 아래처럼 말이지요.

비례식 예제 풀기
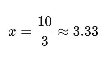
3:5 = 2:x라는 비례식을 풀어보겠습니다.
- 내항: 5와
- 외항: 와 x
내항과 외항의 곱이 같으므로:
3 × x = 5 × 2
3x=10

따라서 를 구하면, 아래와 같습니다.

비례식은 두 비율이 같음을 나타내며, 내항의 곱과 외항의 곱이 같다는 성질을 이용하여 문제를 해결할 수 있습니다.
반응형